来源:COINV东方所振动噪声测试微信公众号(ID:coinv2016)
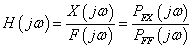
递函数是对一个系统通过其输入信号和输出信号,进行系统的频率响应分析,它反映了系统对信号的传递特性(幅频特性和相频特性),取决于系统的本身特性,与输入无关。


表现形式有:
幅频曲线和相频曲线(同时显示,也称为伯德图);
实频曲线和虚频曲线;
奈奎斯特 (Nykuist) 圆;
相干曲线及相干传函,可以判定测量的有效性。
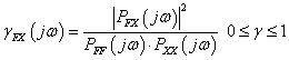
为了评价频响函数估计的精度, 定义相干函数。

相干函数总是小于1,说明系统中总存在外来的噪声或有其他不相关的输入,或系统存在非线性特性。
脉冲激励大型低频结构中存在的一对矛盾:
激励信号:脉冲形式,需要较大的采样频率进行采样,保证脉冲信号准确;
响应信号:低频振动,需要较低的采样频率,保证较好的频率分辨率。
变时基传递函数的测量和计算:
测量时:使用高频采集激励信号,使用低频采集响应信号;
计算时:使用变时基细化传函计算方法。

|
|
|
|
|
|
|
|
|
|
|
|
|
|